“You said that so careful, Cathleen.”
“What that was that, Cal?”
“When you said those blue donuts in your diagram could be Earth’s equivalent to Jupiter’s brown bands. Why not the white zones, too?”
“Because Earth has a much better analog for the white zones. Juno‘s observations showed us Jupiter’s white zones floating a hundred or more kilometers above the brown stuff.”
“We don’t have that much room, do we?”
“Nowhere near. Our clouds and weather stay inside the troposphere, mostly less than a dozen kilometers up. Inside that shell, though, similar dynamics may apply.” <scribbling on her tablet> “Here’s a grossly oversimplified sketch.”
“White frosting on the donuts?”
“Winds, Cal, not frosting, though they are cold. Think of each blue donut as a conveyor belt transporting air between warm and cold regions. The arrows reflect separate lower‑level and upper‑level wind regimes. What happens up at 60°N?”
“That’s actually a ring, right, goes all around the planet up there? I see two lower‑level conveyor belt donuts dumping at the same meridian — stuff’s gonna pile up over the ring unless the upper‑level parts move it out fast enough.”
“They do, mostly, during each hemisphere’s Summer. Winter’s another matter. The lower‑level conveyors are more sensitive to surface conditions than their upper‑level partners; seasonal surface condition changes affect the dump/clear balance. Wind speed’s driven by density difference; cold winter air is denser than summer air, even in the Arctic. Typical wintertime lower‑level polar cell transport dumps more air into that convergence than the upper‑level mechanism can sweep away.”
“So it piles up, like I said. Just sits there, I bet.”
“It might if the Earth weren’t rotating. That dense air acts to lift lighter air coming in from the South—”
“I know! Coriolis in action! The lighter southern air gets into the upper level first and it’s already turning to the east so it kicks that white cylinder into going east, too. Except it’s a ring.”
“It’s a continuous process so getting there first doesn’t count. But yes, eastward momentum from lighter southern air is the dominant influence that speeds the polar jet stream’s winds on their way, 200 kilometers/hour or more.”
“Whoa, that ‘polar jet stream’ phrase just sunk in. I keep hearing the weather guy talking about how the polar jet stream brings down the cold.”
“That’s like saying robins bring the springtime. The warm/cold front’s established by the balance between cold’s centrifugal force, heat’s poleward momentum and Coriolis twisting everything to the right. The jet stream just rides the back of the front. To my mind, it’s more accurate to say that the cold brings down the polar jet.”
“Cart before the horse.”
“Mm-hm. Remember I said that diagram is a gross simplification. One of the simplifications was to localize the stream at 60°N. Here’s a slightly less gross simplification. That ‘ring’ isn’t circular, it ranges more-or-less regularly between 60° and 45° in a nice pattern.”

“The crinkly circle looks like a coffee grinder part. So the cold just slides down that jet from Greenland to Europe.”
“Um, no. Weather doesn’t travel along the streams and the waves aren’t locked in place. The whole structure rotates eastward. Carl‑Gustaf Rossby discovered that, which is why it’s called a Rossby wave. Rossby was an early pioneer in atmospheric physics; his group’s weather predictions help decide World War II. Anyway, even Rossby waves are simplifications.”
“How much more unsimple can it be?”
“Much more. This idealized sketch shows how things might settle down under stable conditions. Conditions are rarely stable, especially now that global warming is upsetting the apple cart. The polar land areas are warming up the most, which means the polar cell’s outbound air currents are weaker and patchier than they used to be.”
“So the warm air masses can punch up closer to the poles like Summertime. Big deal.”
“Very big. Amplify the Rossby wave beyond a certain point, distortions create vortex cascades inside the peaks — the structure goes chaotic. Cold air leaks out past the warm air, like for this horrible early May snowstorm we’re getting.”
“Global warming causes cold air leaks. How about that?”
~ Rich Olcott





















Jennie’s turn — “Didn’t the chemists define away a whole lot of entropy when they said that pure elements have zero entropy at absolute zero temperature?”
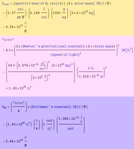
“That’s not quite what I said, Jennie. Old Reliable’s software and and I worked up a hollow-shell model and to my surprise it’s consistent with one of Stephen Hawking’s results. That’s a long way from saying that’s what a black hole is.”
My notes say D is the black hole’s diameter and d is another object’s distance from its center. One second in the falling object’s frame would look like f seconds to us. But one mile would look like 1/f miles. The event horizon is where d equals the half-diameter and f goes infinite. The formula only works where the object stays outside the horizon.”
“Wow, Old Reliable looks up stuff and takes care of unit conversions automatically?”